第九章 曲线积分与曲面积分

一、基础题

1 第一型曲线积分

第九章 曲线积分与曲面积分

2

第九章 曲线积分与曲面积分

3

第九章 曲线积分与曲面积分

4 错题

第九章 曲线积分与曲面积分

5 第一类曲面积分 图像不会花

第九章 曲线积分与曲面积分

6 第一类、第二类 曲线积分 错题

第九章 曲线积分与曲面积分

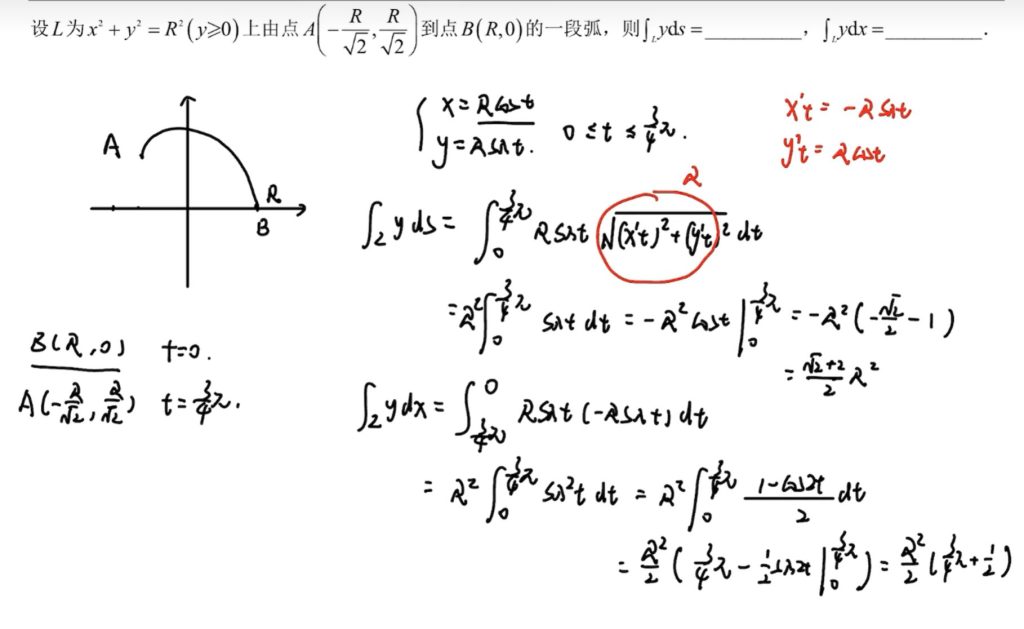
7 第一型曲线积分 再看

第九章 曲线积分与曲面积分

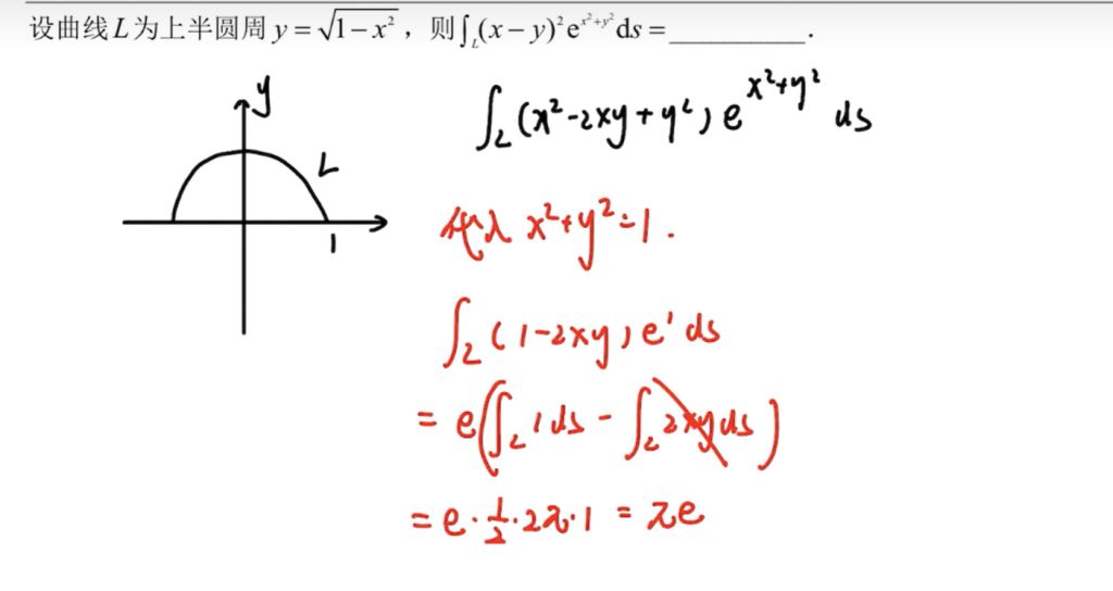
8 图像要理解

第九章 曲线积分与曲面积分

9 第一类曲面积分

第九章 曲线积分与曲面积分

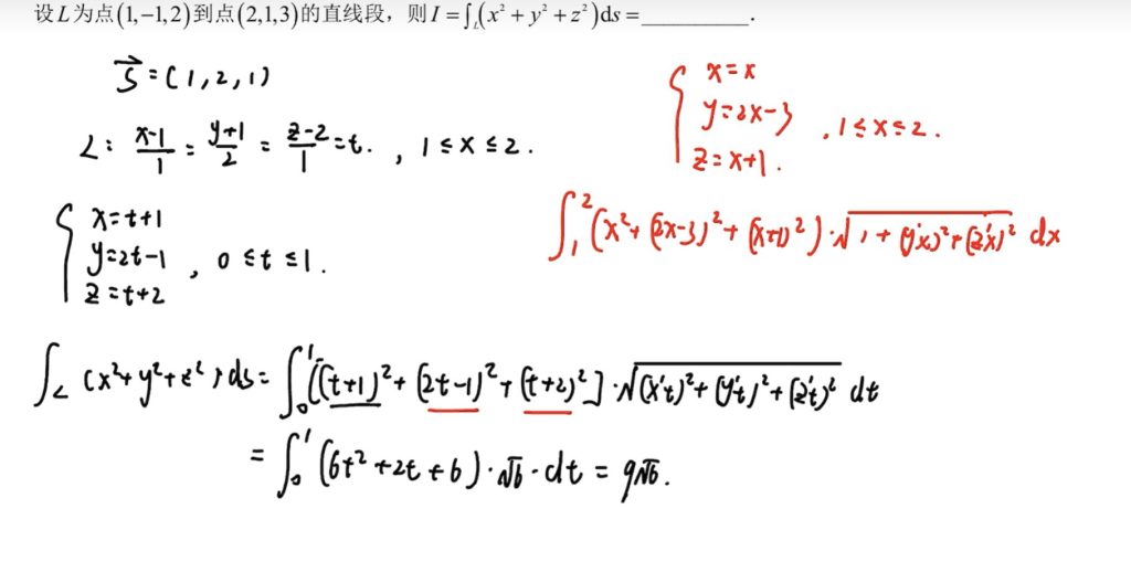
10 第一类曲线积分

第九章 曲线积分与曲面积分

11

第九章 曲线积分与曲面积分

二、基础解答

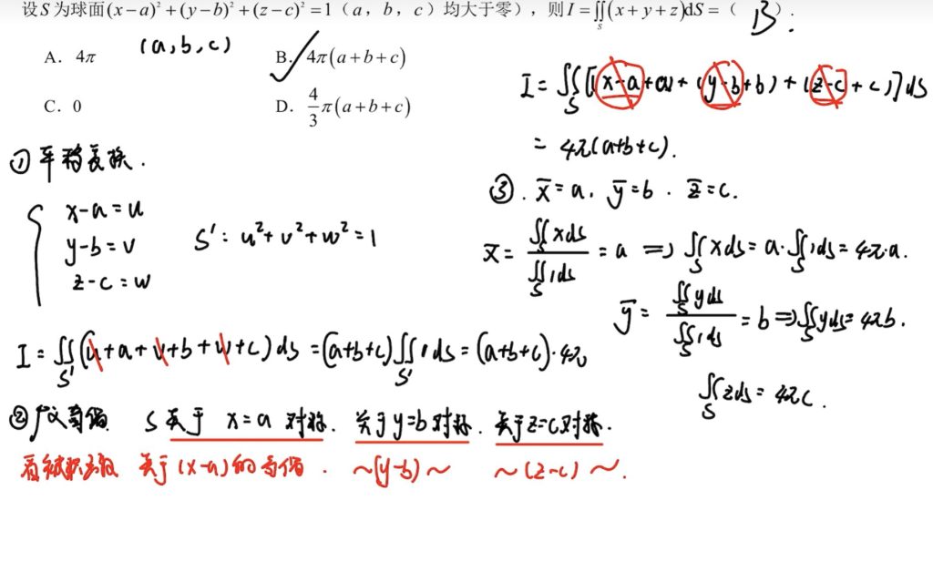
12 第一类曲线积分

第九章 曲线积分与曲面积分

本网站原创文章版权归何大锤的狂飙日记所有。发布者:何大锤,转转请注明出处:何大锤的博客

(0)
何大锤的头像何大锤管理团队

相关推荐

  • 第十六章 随机事件及其概率

    一、基础题 1 2 记结论 3 4 本题有瑕疵 5 记结论 6 错题 7 填空题 8 9 10 11 12 13

    2025年9月29日
    1700
  • 第十章 行列式

    一、基础题 1 余子式之和 2 3 有个小坑,注意看 4 真题改编,不会 5 真题 超级好题 二、填空题 5 计算 行列式 6 7 爪形 8 9 10 11 不会,正交矩阵 12 13 14 15 更好的方法 16 这个好题目再看 三、解答题 17 18 方法一:递推 方法二 错题 4 真题改编,不会 重点知识 1、正交矩阵 |A| = ±1

    2025年9月28日
    1000
  • 第五章 多元函数微分学及其应用

    一、基础题 – 选择题 1 概念题 2 偏导存在 概念题 错题 3 概念计算,难 4 带绝对值的多元函数求偏导 5 二元隐函数求导 6 概念题 7 多元函数求极值问题 8 多元概念与几何空间 C选项 D选项 9 空间几何与多元 错题汇总 1 概念题 2 偏导存在 概念题 3 概念计算,难 4 带绝对值的多元函数求偏导 5 二元隐函数求导 6 概念…

    2025年9月27日
    1300
  • 第三章 一元函数积分学及其应用

    一、基础题 – 选择题 1 2 函数与原函数之间的奇偶和周期性 3 再看一下这道题 4 f(x) 与 F(x)的关系 5 分段函数的原函数 6 计算积分 – 错误 7 定积分的几何 8 结论记住 9 错题,积分待定系数 10 计算过程看一下 错题汇总 3 再看一下这道题 6 计算积分 – 错误 9 错题,积分待定系数 10…

    2025年9月13日
    900
  • 第二章 一元函数微分学及其应用

    一、基础题 – 选择题 1 函数可导 2 导数定义求导 3 绝对值函数的可导性判断 4 连续、导数性质 5 微分性质 6 导函数的奇偶性 7 重点题 泰勒公式与f(x)导数之间的关系 8 判断可导性和极值 错误解法 8 计算拐点的个数 – 结论要记 拐点个数 = k1 + 2k2 + 3k3 – 2 极值点个数 = k1 …

    2025年9月12日
    800

发表回复

您的邮箱地址不会被公开。 必填项已用 * 标注

联系我们

2211932694

在线咨询: QQ交谈

邮件:hdcblog1999@163.com

工作时间:周一至周五,9:30-18:30,节假日休息

关注微信
网站建设中ing......