第十章 行列式

一、基础题

1 余子式之和

第十章 行列式
第十章 行列式

2

第十章 行列式
第十章 行列式

3 有个小坑,注意看

第十章 行列式
第十章 行列式

4 真题改编,不会

第十章 行列式
第十章 行列式

5 真题 超级好题

第十章 行列式
第十章 行列式

二、填空题

5 计算 行列式

第十章 行列式

6

第十章 行列式

7 爪形

第十章 行列式

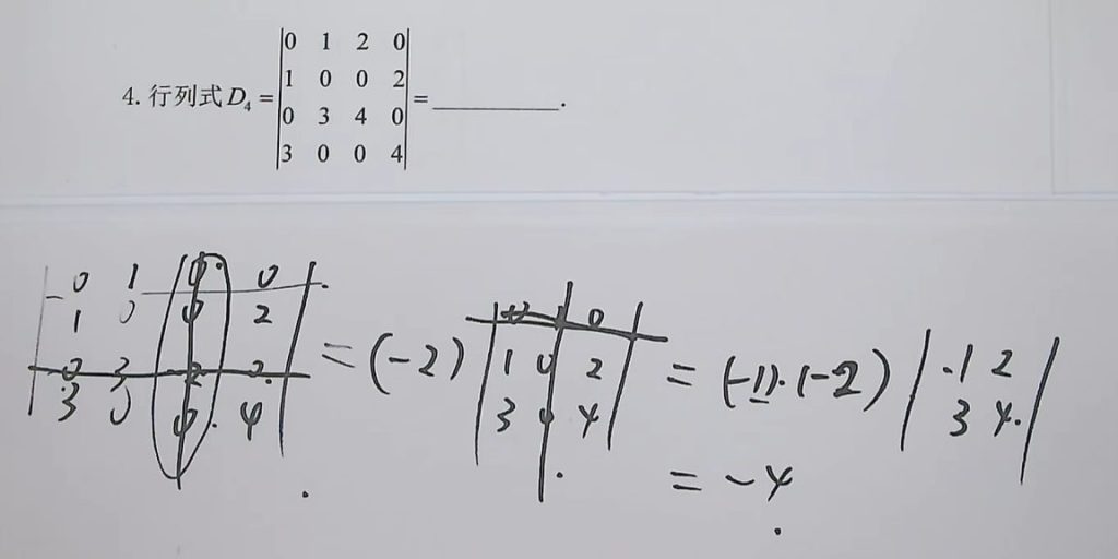
8

第十章 行列式

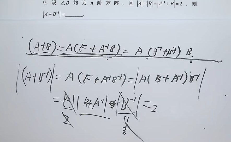
9

第十章 行列式
第十章 行列式

10

第十章 行列式

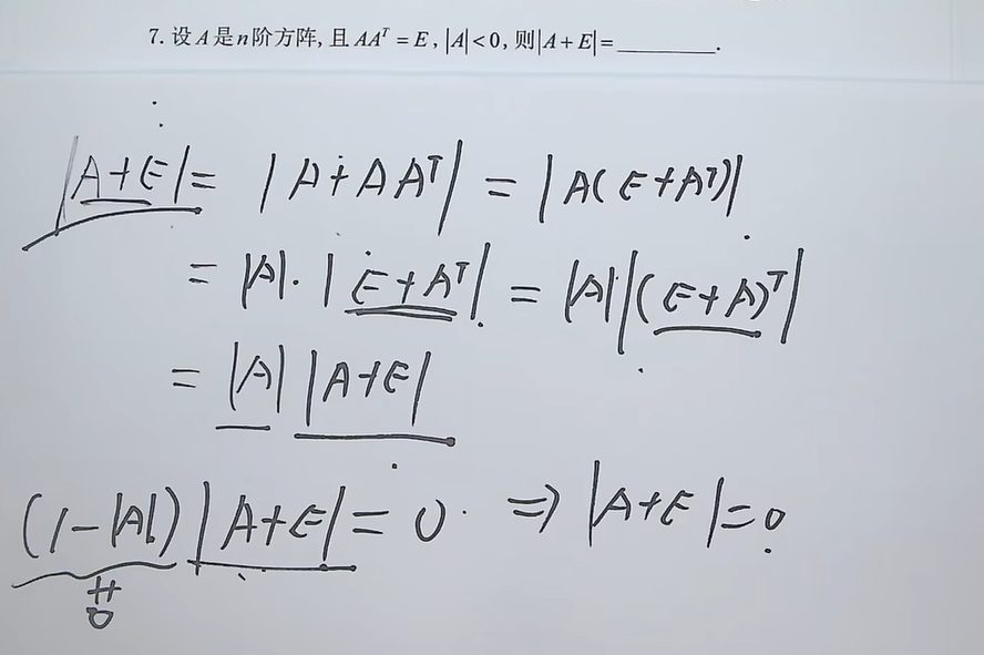
11 不会,正交矩阵

第十章 行列式

12

第十章 行列式
第十章 行列式
第十章 行列式

13

第十章 行列式

14

第十章 行列式

15

第十章 行列式

更好的方法

第十章 行列式

16 这个好题目再看

第十章 行列式

三、解答题

17

第十章 行列式

18

第十章 行列式

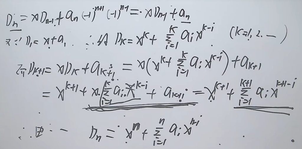
方法一:递推

第十章 行列式

方法二

第十章 行列式

错题

4 真题改编,不会

重点知识

1、正交矩阵

第十章 行列式

|A| = ±1

本网站原创文章版权归何大锤的狂飙日记所有。发布者:何大锤,转转请注明出处:何大锤的博客

(0)
何大锤的头像何大锤管理团队

相关推荐

  • 第九章 曲线积分与曲面积分

    一、基础题 1 第一型曲线积分 2 3 4 错题 5 第一类曲面积分 图像不会花 6 第一类、第二类 曲线积分 错题 7 第一型曲线积分 再看 8 图像要理解 9 第一类曲面积分 10 第一类曲线积分 11 二、基础解答 12 第一类曲线积分

    2025年10月2日
    1100
  • 第十六章 随机事件及其概率

    一、基础题 1 2 记结论 3 4 本题有瑕疵 5 记结论 6 错题 7 填空题 8 9 10 11 12 13

    2025年9月29日
    1700
  • 第五章 多元函数微分学及其应用

    一、基础题 – 选择题 1 概念题 2 偏导存在 概念题 错题 3 概念计算,难 4 带绝对值的多元函数求偏导 5 二元隐函数求导 6 概念题 7 多元函数求极值问题 8 多元概念与几何空间 C选项 D选项 9 空间几何与多元 错题汇总 1 概念题 2 偏导存在 概念题 3 概念计算,难 4 带绝对值的多元函数求偏导 5 二元隐函数求导 6 概念…

    2025年9月27日
    1300
  • 第三章 一元函数积分学及其应用

    一、基础题 – 选择题 1 2 函数与原函数之间的奇偶和周期性 3 再看一下这道题 4 f(x) 与 F(x)的关系 5 分段函数的原函数 6 计算积分 – 错误 7 定积分的几何 8 结论记住 9 错题,积分待定系数 10 计算过程看一下 错题汇总 3 再看一下这道题 6 计算积分 – 错误 9 错题,积分待定系数 10…

    2025年9月13日
    900
  • 第二章 一元函数微分学及其应用

    一、基础题 – 选择题 1 函数可导 2 导数定义求导 3 绝对值函数的可导性判断 4 连续、导数性质 5 微分性质 6 导函数的奇偶性 7 重点题 泰勒公式与f(x)导数之间的关系 8 判断可导性和极值 错误解法 8 计算拐点的个数 – 结论要记 拐点个数 = k1 + 2k2 + 3k3 – 2 极值点个数 = k1 …

    2025年9月12日
    800

发表回复

您的邮箱地址不会被公开。 必填项已用 * 标注

联系我们

2211932694

在线咨询: QQ交谈

邮件:hdcblog1999@163.com

工作时间:周一至周五,9:30-18:30,节假日休息

关注微信
网站建设中ing......