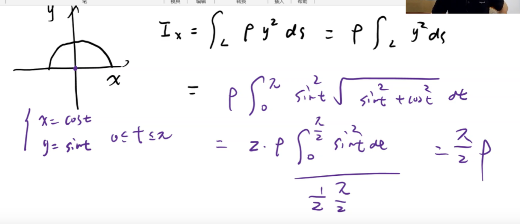
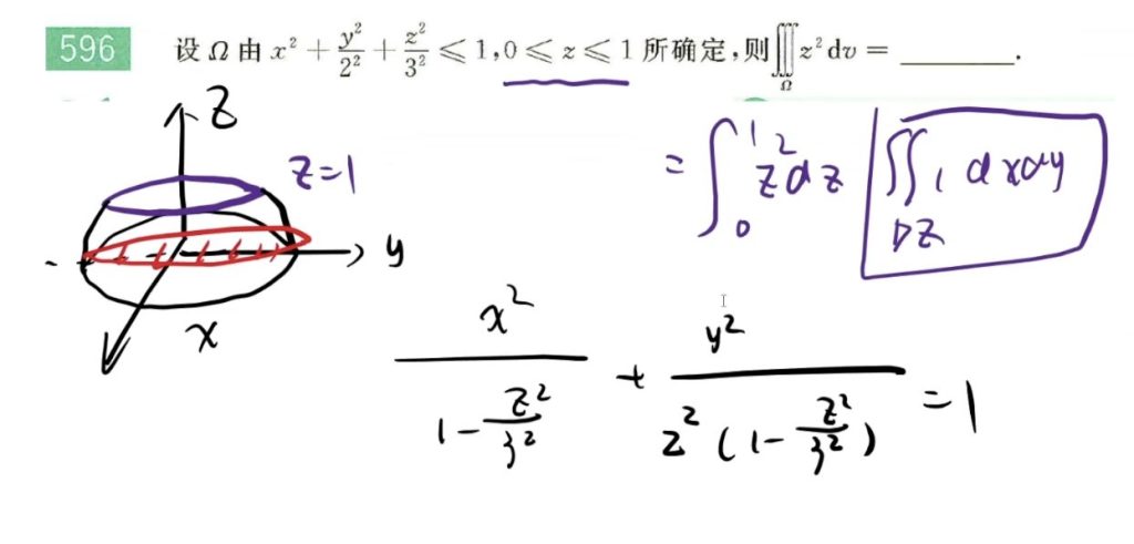
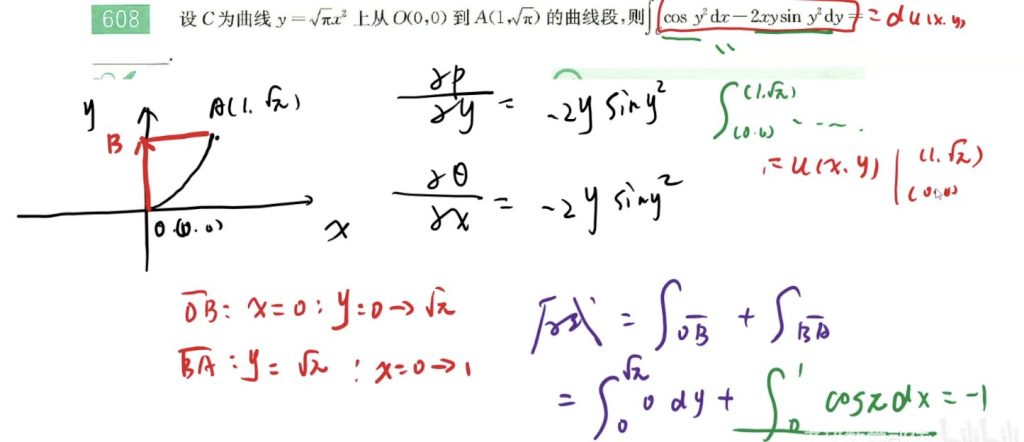
601-660 何大锤 • 2025年10月17日 下午10:32 • 660题 • 阅读 19 一、题目 601 602 错题、三重积分 603 611 613 615 三重积分重心公式、需要记忆 616 第一型线积分转动惯量公式记忆 二、错题 三、知识点 本网站原创文章版权归何大锤的狂飙日记所有。发布者:何大锤,转转请注明出处:何大锤的博客 高数660题 赞 (1) 何大锤管理团队 0 0 生成海报 相关推荐 660题 251 -300题 一、题目 276 行列式求值 方法一 方法二 举一反三 这题行列式和分块算出来的答案不一致 277 爪形行列式 278 范德蒙德行列式 改题 – 提5 279 逆序数 280 281 错题 二、错题 278 范德蒙德行列式 281 错题 三、知识点 3.1 分块矩阵行列式结论 3.2 范德蒙德行列式证明 何大锤 2025年9月17日 11001 660题 201 – 250题 何大锤 2025年9月17日 10000 660题 151 – 200题 何大锤 2025年9月17日 10000 660题 101 – 150题 何大锤 2025年9月17日 10000 660题 51 – 100题 何大锤 2025年9月17日 10000 发表回复 您的邮箱地址不会被公开。 必填项已用 * 标注*昵称: *邮箱: 网址: 记住昵称、邮箱和网址,下次评论免输入 提交