选择题
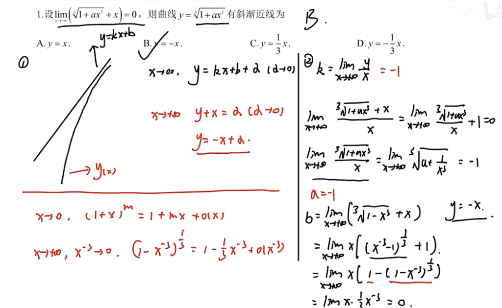
1 渐近线

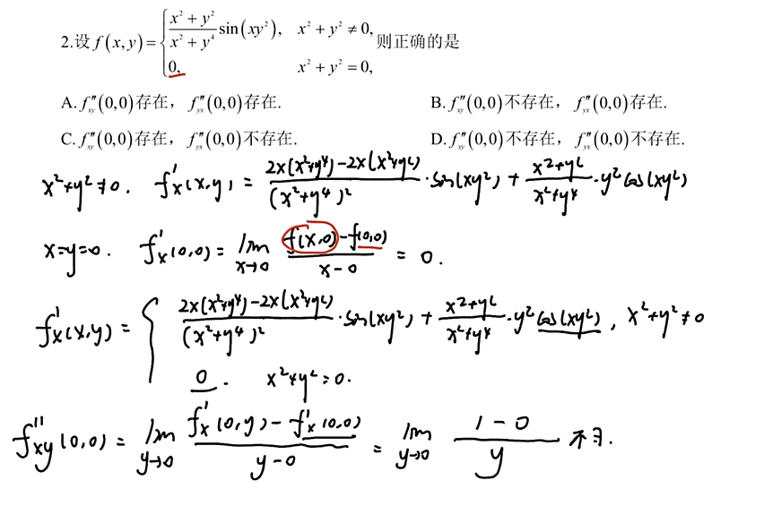
2 多元函数存在问题


3 曲率计算 关注下

4 格林公式&二重积分

5 重点看

6 结论要重点看

7 不会

8

9 正态分布

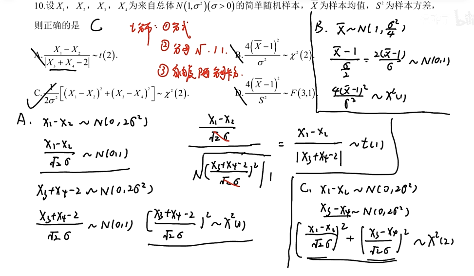
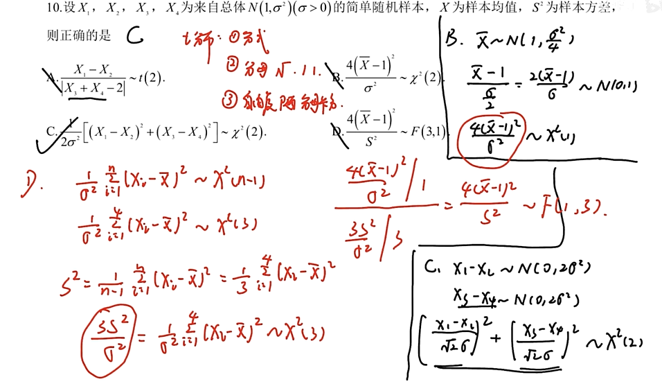
10 三大抽象分布 错题,还未看


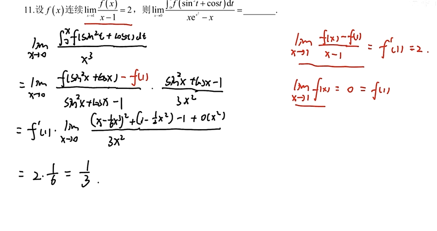
11 填空题

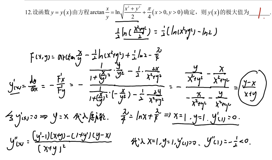
12 隐函数求导极大值

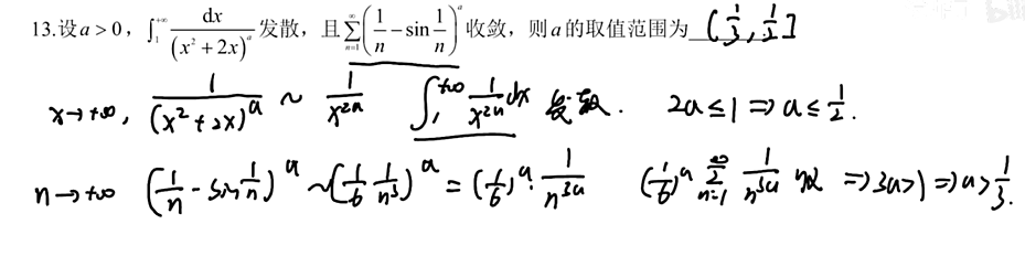
13 收敛性

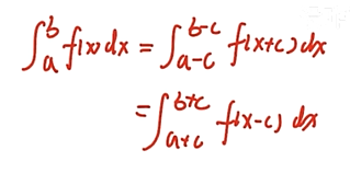
14 傅里叶,定积分快速换元

15 错题

16 最大似然估计

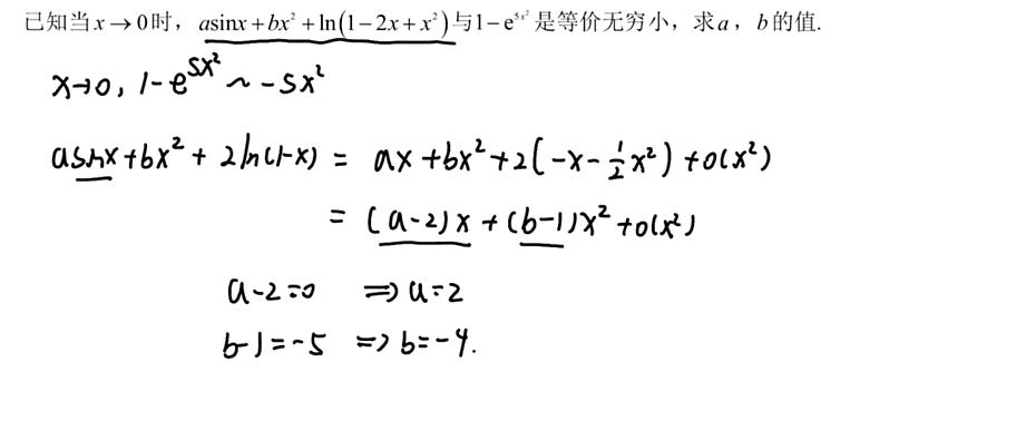
17 待定系数求极限

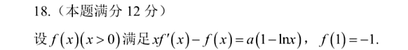
18 再多看几遍吧这道题 微分方程



19 条件极值


20 三重积分&第二类曲线积分 再看


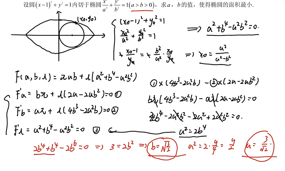
21 线性代数


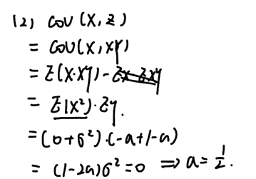
22 离散+连续




结论

定积分快速换元

本网站原创文章版权归何大锤的狂飙日记所有。发布者:何大锤,转转请注明出处:何大锤的博客